Non-Beacon Mode

Introduction

The IEEE 802.15.4 specification defines the non-beacon mode of network operation where the coordinator does not send out periodic beacons. The non- beacon mode is an asynchronous network mode of operation where the devices communicate by using the CSMA-CA mechanism.

Network Operations

Network Start-Up

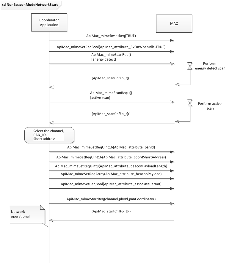
A network is always started by a full function device. The procedure to start the network begins with a MAC layer reset. The application can directly start the network on a desired channel with a desired or random PAN-ID, or it can first check for a channel with lowest RF energy by performing a energy detect scan to select the channel with lowest energy or least interference (see Figure 42.). The application then performs an active scan to detect the existing networks in the area, and select network parameters for its own network which do not conflict. After selecting the channel, the PAN Coordinator application must set the short address and PAN-ID, and then set the beacon payload and (optionally) turn on the associate permit flag if it wants new devices to join the network. The network is then started using the API ApiMac_mlmeStartReq() with the panCoordinator parameter set to TRUE.

../_images/fig-non-beacon-network-start-up-sequence.png

Figure 42. Nonbeacon Mode Network Start-Up Sequence

Network Join

When a device is ready to join a non-beacon network, it must first perform an active scan broadcasting a beacon request. After receiving the beacon request, the non-beacon PAN coordinators in the radio range of the device respond with their beacons. When the scan is complete, TI 15.4-Stack calls the registered callback of type ApiMac_scanCnfFp_t with the PAN descriptors of the beacons it has received during the scan to the device application. The device application examines the PAN descriptors and selects a coordinator.

The next step is to perform the network association (see Figure 43.). The device application calls the ApiMac_mlmeAssociateReq() API to send the association request message to the coordinator. The association process is successful when the device application receives the association confirmation from the TI 15.4-Stack layer.

../_images/fig-non-beacon-association-sequence.png

Figure 43. Nonbeacon Mode Device Association Sequence

Data Exchange

The sequence diagram in Figure 44. depicts the various direct data transactions between a device and a coordinator in a non-beacon network.

../_images/fig-non-beacon-direct-data-sequence.png

Figure 44. Non-beacon Mode Direct Data Exchange Sequence

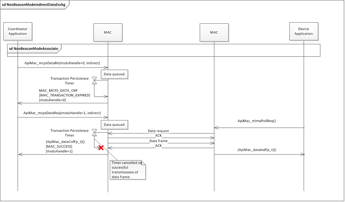
The sequence diagram in Figure 45. depicts the indirect data transaction in a non-beacon network.

../_images/fig-non-beacon-indirect-data-sequence.png

Figure 45. Non-beacon Mode Indirect Data Exchange Sequence

Maintaining a Connection for End Nodes

If the device application receives repeated communication failures following requests to transmit data, the device application may conclude that it has been orphaned and can initiate an orphaned-device realignment procedure. Figure 46. shows the non-beacon mode orphan sequence.

In the orphan realignment procedure, the device application requests TI 15.4-Stack to perform the orphan scan over a specified set of channels by using the ApiMac_MlmeScanReq() API with the scan-type parameter set to orphan scan. For each channel specified, TI 15.4-Stack at the device switches to the channel and then sends an orphan notification command. After successfully transmitting the orphan notification command, the MAC layer enables the receiver for at most ApiMac_attribute_responseWaitTime. If the device successfully receives a coordinator realignment command, the device terminates the scan and calls the registered callback of type ApiMac_scanCnfFp_t. At the coordinator side, the reception of the orphan notification command results in the call of the registered callback of type ApiMac_orphanIndFp_t by TI 15.4-Stack. If the coordinator application finds the record of the device, it sends a coordinator realignment command to the orphaned device by using the ApiMac_MlmeOrphanRsp() call.

../_images/fig-non-beacon-orphan-sequence.png

Figure 46. Nonbeacon Mode Orphan Sequence

Disassociating

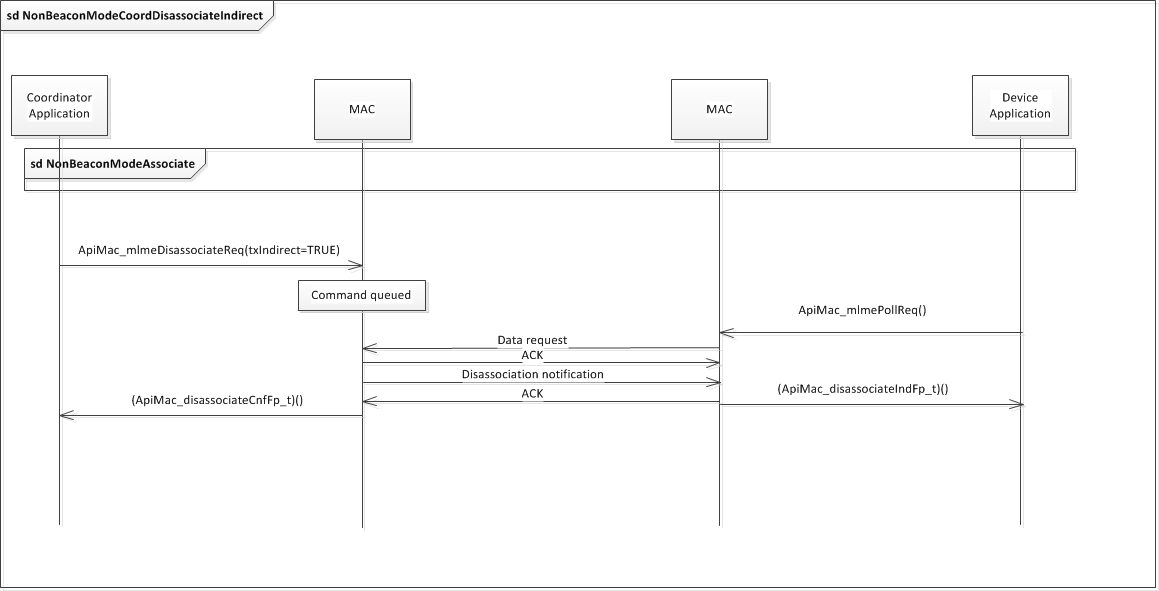
Two scenarios are described in the following: the first is initiated by the coordinator and the second is initiated by the device. Figure 47. shows the indirect disassociation sequence initiated by the non-beacon mode coordinator.

When the coordinator application wants one of the associated devices must leave the PAN, the coordinator application requests that TI 15.4-Stack send the disassociation notification command by using the ApiMac_mlmeDiassociateReq() call. If the txIndirect parameter is set to TRUE, TI 15.4-Stack sends the disassociation notification command to the device using indirect transmission; then, the disassociation notification command is added to the list of pending transactions stored on the coordinator and pulled by the device using data request command.

../_images/fig-non-beacon-indirect-disassociation-sequence.png

Figure 47. Indirect Disassociation Sequence Initiated by the Non-beacon Mode Coordinator

The end device application can also initiate the disassociation process as described in Figure 48., which shows the sequence of messages exchanged when the end device initiates the disassociation process in the non-beacon network.

../_images/fig-non-beacon-device-disassociation-sequence.png

Figure 48. Disassociation Sequence Initiated by the Nonbeacon Mode Device

There is a corner case in which a collector is factory reset but has not previously asked the sensor devices to disassociate. In this state the sensors have no means of knowing that the network has been removed and thus should disassociate from it. For a non-beacon mode rejoin process, if the sensor retains the network’s Pan ID and the collector creates a new network over the same channel, then the sensor begins to poll this reset collector and waits for a response. It is the collector’s responsibility to reject a poll from a sensor whose address is not stored as an associated device in its tables. It however does not do this by default as with data requests, communication statuses, and orphan requests. Therefore the sensor is misled to believe that it has rejoined the network. Therefore a disassociation request must be sent when receiving a poll from an unknown device. This should be accomplished from the collector application. If this cannot be modified then a sensor application should be designed to monitor the status of data requests that are not responded to and decide whether to disassociate accordingly.

Stack Configuration Knobs

Attribute Configuration

The ApiMac_attribute_associatePermit is used by the coordinator application to indicate to the joining devices whether association is allowed or not. When the coordinator sets this attribute item to TRUE, this indicates to the joining devices within the beacon frame that association is allowed. Table 6. lists the attribute configurations that apply to non-beacon mode.

If set to TRUE, the ApiMac_attribute_RxOnWhenIdle enables the receiver during the idle period.

Table 6. Attribute Configuration Applicable to Beacon Mode

Name

Type

Range

Number

Description

ApiMac_attribute_associatePermit

Bool

TRUE, FALSE

0x41

TRUE if a coordinator is currently allowing association.

ApiMac_attribute_RxOnWhenIdle

Bool

TRUE, FALSE

0x52

TRUE if the MAC enables its receiver during idle periods.

Configuration Constants

TI 15.4-Stack uses a structure containing various user-configurable parameters (at compile time). This structure, called macCfg_t, is in the mac_cfg.c file. Table 7. lists the configuration elements.

Table 7. Configuration Constants

Name

Description

Range

Default

txDataMax

Maximum number of data frames queued in the transmit data queue.

1 – 255

2

txMax

Maximum number of frames of all types queued in the transmit data queue.

1 – 255

5

rxMax

Maximum number of frames queued in the receive data queue.

1 – 255

2

dataIndOffset

Allocate additional bytes in the data indication for application-defined headers.

0 – 127

0

appPendingQueue

When TRUE, registered callback of type ApiMac_pollIndFp_t will be made to the application when a data request command frame is received from another device.

TRUE – FALSE

FALSE